
인터넷은 웹의 핵심적인 기술이다.
인터넷의 가장 기본적인 것은 컴퓨터들이 서로 통신 가능한 거대한 네트워크라는 것이다.
단순한 네트워크

2개의 컴퓨터가 통신이 필요할 때, 우리는 다른 컴퓨터와 물리적(이더넷 케이블) 또는 무선(와이파이나 블루투스) 으로 연결되어야 한다. 이러한 네트워크는 2대의 컴퓨터로 제한되지 않는다. 원하는 만큼의 컴퓨터를 연결할 수 있다. 그러나 이렇게 연결할 수록 매우 복잡해진다.

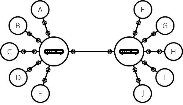
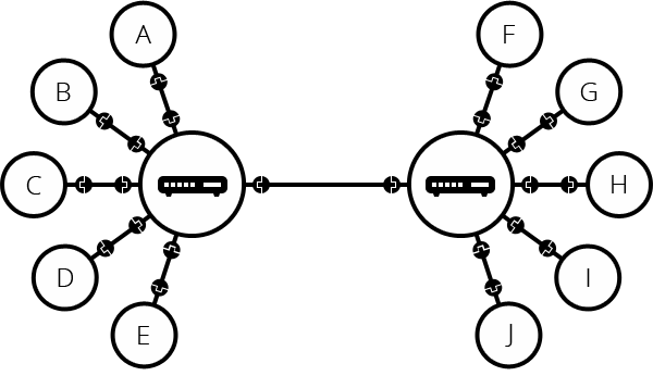
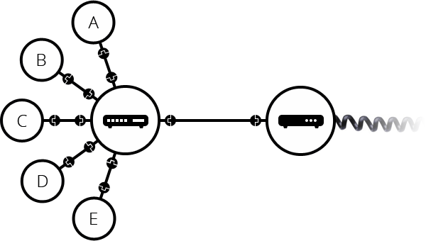
마치 이런모습처럼 말이다. 이 문제를 해결하기 위해서는 네트워크의 각 컴퓨터에는 라우터라고 하는 특수한 소형 컴퓨터에 연결해야한다. 이 라우터에는 단 하나의 작업만 있다. 컴퓨터 B 에게 메세지를 보내려면, 컴퓨터 A 가 메시지를 라우터로 보내야 하며, 라우터는 메시지를 컴퓨터 B 로 전달한다.
이 라우터를 시스템에 추가하면 10대의 컴퓨터 네트워크는 10개의 케이블만 필요하다. 각 컴퓨터마다 단일 플러그와 10개의 플러그가 있는 하나의 라우터가 필요한 것이다.

네트워크 속의 네트워크
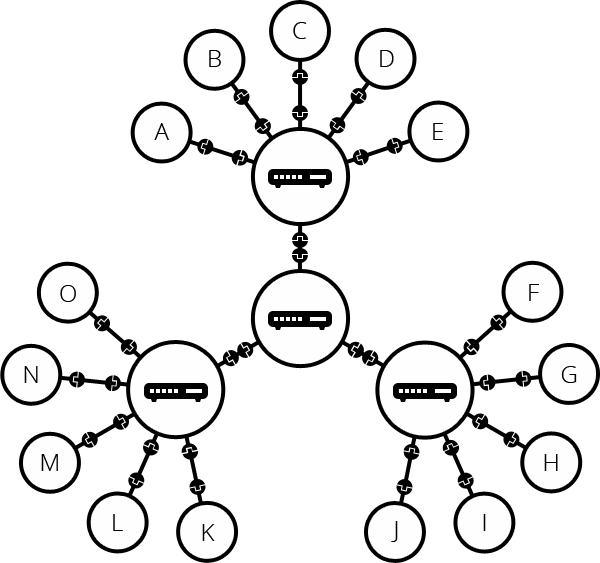
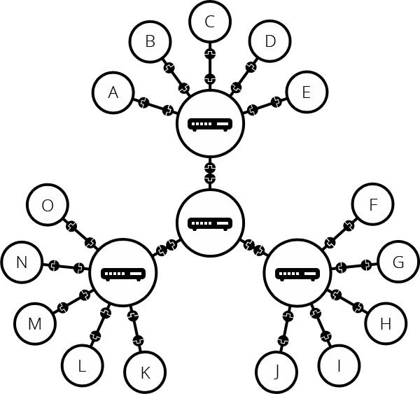
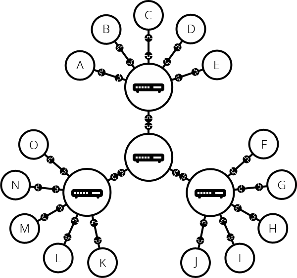
만약에 수백, 수천 대 이상의 컴퓨터를 연결하면 어떻게 해야할까?

컴퓨터를 라우터에 연결하고, 라우터에서 라우터로 연결할 수 있다. 무한하게 확장할 수 있는 것이다.

이런 네트워크가 우리가 흔히 인터넷이라고 부르는 것에 가깝긴 하다. 대신 집과 다른 지역 사이에 아주 먼 곳과 케이블을 연결할 수는 없다. 네트워크를 전화시설과 연결하기 위해서는 모뎀이라는 특수 장비가 필요하다. 이 모뎀은 우리 네트워크의 정보를 전화 시설에서 처리할 수 있는 정보로 바꾼다.

네트워크는 전화시설에 연결되게 된다. 다음 단계는 네트워크에서 도달하려는 네트워크로 메시지를보내는 것이다. 그렇게 하기위해서는 네트워크를 인터넷 서비스 제공 업체(Internet Service Provider, ISP) 에 연결한다. ISP 는 함께 연결되는 몇몇 특수한 라우터를 관리하고 다른 ISP 의 라우터에도 엑세스할 수 있는 회사이다. 따라서 네트워크 메시지는 ISP 네트워크의 네트워크를 통하여 대상 네트워크로 전달된다. 인터넷은 이러한 전체 네트워크 인프라로 구성되는 것이다.

컴퓨터 찾기
컴퓨터에 메시지를 보내기 위해서는 메시지를 받을 특정 컴퓨터를 지정해야 한다. 네트워크에 연결되는 모든 컴퓨터에는 IP 주소라는 컴퓨터의 고유한 주소가 있다. ex) 192.168.0.4
이 주소를 일일히 기억하기 어렵기 때문에 우리가 도메인 이름이라고 하는 IP 주소의 이름을 지정할 수 있는 것이다. google.com 처럼 말이다.
참고
https://developer.mozilla.org/ko/docs/Learn/Common_questions/How_does_the_Internet_work
'Front-End > Etc' 카테고리의 다른 글
| (프론트엔드의 첫걸음) npm (node Package Manager) 란? (0) | 2021.10.01 |
|---|---|
| (프론트엔드의 첫걸음) 바벨(Babel) 이란? (0) | 2021.10.01 |
| (프론트 엔드의 첫걸음) 브라우저 저장소에 대해 알아보자 (0) | 2021.09.30 |
| (프론트 엔드의 첫걸음) 3. 브라우저 동작 원리 (0) | 2021.02.16 |
| (프론트 엔드의 첫걸음) 2. HTTP 란 무엇인가? (0) | 2021.02.15 |

최근댓글